Breadcrumb Nedir? SEO İçin Neden Önemlidir?

Breadcrumb Nedir? SEO İçin Neden Önemlidir?

Nedir Bu “Breadcrumb”?

Breadcrumb Türkçe adıyla “ekmek kırıntısı” olarak bilinen link yapısıdır. Web sitesinin navigasyonunda bulunan ve kullanıcılara bulundukları sayfanın hiyerarşik konumunu gösteren bir öğedir. Genellikle küçük bir yol gösterici olarak tasarlanır ve kullanıcıların bir site içinde gezinirken nerede olduklarını anlamalarına yardımcı olur. “Breadcrumb” terimi, Hansel ve Gretel masalındaki izledikleri ekmek kırıntılarına dayanmaktadır. Yani sonuç olarak kullanıcıların web sitesindeki yolları geri izlemelerini sağlar.

Breadcrumb SEO İçin Önemi

SEO açısından, breadcrumb’ler önemlidir çünkü kullanıcıların web sitesinde gezinmesini kolaylaştırır ve arama motorlarına site yapısını anlatır. Kullanıcıların daha iyi bir deneyim yaşamasını sağlayarak, sitenin genel performansını artırabilir. Ayrıca, arama motorlarının sitenin hiyerarşisini anlamasına yardımcı olarak içeriğin daha iyi indekslenmesini ve sıralamada yükselmesini destekleyebilir. Bu nedenle, breadcrumb’lar, kullanıcı deneyimi ve SEO stratejileri için vazgeçilmez bir unsurdur.

Breadcrumb Yazılırken Hangi Karakterler Kullanılır?

– gibi karakterler sıklıkla breadcrumb’lerde kullanılır. Bunlar genellikle bir seviyeden diğerine geçişleri göstermek için kullanılır. Ayrıca, “>” (büyük işaret) veya “/” (eğik çizgi) gibi karakterler de breadcrumb’lerde sıkça tercih edilenler arasındadır. Bu karakterler, hiyerarşik yapıyı göstermek ve kullanıcıların bir sayfadan diğerine geçişlerini anlamalarını sağlamak için kullanılır. Her bir karakterin kullanımı, sitenin tasarım tercihlerine ve kullanıcı deneyimi amaçlarına bağlı olarak değişebilir. Önemli olan, kullanılan karakterlerin netlik sağlaması ve kullanıcıların kolayca sayfa gezinmesini sağlamasıdır.

Breadcrumb E-ticaret Sektörü

Çoğu e-ticaret sitesi, genellikle karmaşık bir yapıya sahip olan çok sayıda kategori, alt kategori ve ürün sayfalarından oluşur. Breadcrumb, bu karmaşıklığı basit ve anlaşılır bir şekilde görselleştirerek kullanıcıların istedikleri ürünlere daha hızlı erişmelerini sağlar.

Örneğin, bir kullanıcı bir e-ticaret sitesinde ayakkabı bölümünden bir çeşit spor ayakkabıya ulaşmak istediğinde, breadcrumb ona adım adım yol gösterir. “Ana Sayfa > Spor Outdoor Ürünleri > Spor Fitness Ürünleri > Spor Malzemeleri Kıyafetleri > Spor Ayakkabıları” gibi bir breadcrumb yapısı, kullanıcının bulunduğu konumu net bir şekilde gösterir. Bu sayede kullanıcılar, istedikleri ürüne birkaç tıklama ile ulaşabilirler.

E-ticaret sitelerinde breadcrumb’lar, kullanıcı deneyimini iyileştirmenin yanı sıra arama motorlarına da site yapısını anlatır. Bu da site içi gezinmeyi kolaylaştırırken, arama motorlarının sitenin içeriğini daha iyi anlamasına yardımcı olur. Kullanıcıların istedikleri ürünlere daha kolay erişmelerini sağlamak ve dolayısıyla satın alma işlemlerini artırmak, e-ticaret siteleri için breadcrumb’lerin önemini ortaya koyar.

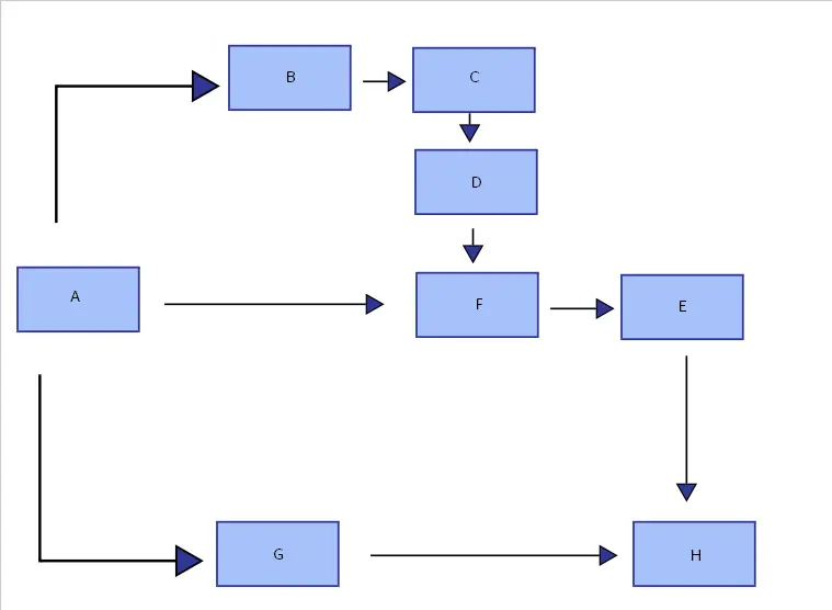
  1. A > B > C > D > F > E > H
  2. A > F > E

Tıklama yolu odaklı Breadcrumb siteyi ziyaret eden kullanıcıların sitede gerçekleştirdiği gezinme geçmişi, görüntüleyebileceği link yapılarıdır. Yapı olarak internet gezinme geçmişine çok benzerdir.

Örnek : Ana Sayfa > Ayakkabı > Spor Ayakkabıları > Koşu Ayakkabıları

Örnek 2 : A > G > H

Çok sayıda alt kategori, tıklama yolu barındıran siteler için kafa karıştırıcı ve esneklik dışı olabilirler. Bu nedenle bu tarz breadcrumb yapısı kurgulamayı planlayan sitelerin, site link derinliği ve site link mimarisi titizlikle oluşturulmalıdır.

İlgili içerik:

Internal Link Nedir? İç Linklemenin SEO Faydaları